WB NHM CHO Recruitment 2025 – पश्चिम बंगाल जिला स्वास्थ्य एवं परिवार कल्याण समिति ने NHM के अंतर्गत सामुदायिक स्वास्थ्य अधिकारी CHO के 3165 पदों पर नई भर्ती का नया नोटिफिकेशन अपडेट किया है | आप सभी उम्मीदवार WB NHM CHO Vacancy 2055 का इंतजार कर रहे थे ,तो ऑनलाइन माध्यम से अपना आवेदन करेंगे |
नोटिफिकेशन की जानकारी सितंबर 2025 को दी गई थी | जिसका आवेदन अक्टूबर 2025 से शुरू किया जाएगा | उम्मीदवार की न्यूनतम आयु सीमा तथा अधिकतम आयु सीमा एवं सैलरी तथा योग्यता से जुड़ी एवं आवेदन शुल्क से जुड़ी पदो पर केवल योग्य महिला पुरुष उम्मीदवार आवेदन कर सकते है | WB NHM CHO Recruitment 2025
West Bengal NHM Recruitment 2025 – Overview
| संगठन | पश्चिम बंगाल जिला स्वास्थ्य एवं परिवार कल्याण समिति |
| पद का नाम | सामुदायिक स्वास्थ्य अधिकारी CHO |
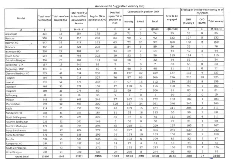
| कुल कितने पद है | 3165 |
| आवेदन प्रक्रिया क्या है | ऑनलाइन |
| ऑफिसियल वेबसाइट | wbhealth.gov.in |
| आवेदन की तिथि तथा अंतिम तिथि क्या है | | अक्टूबर 2025 |

West Bengal NHM CHO Recruitment 2025 Age Limit –
- उम्मीदवार की न्यूनतम आयु सीमा 18 वर्ष तथा अधिकतम आयु सीमा 40 वर्ष रखा गया है सरकारी नियम के अनुसार अनुसूचित जाति तथा अनुसूचित जनजाति एवं पिछड़े वर्ग के उम्मीदवारों को आयु सीमा में छूट मिल रहा है | WB NHM CHO Recruitment 2025
WB NHM CHO Vacancy 2025 Selection Process –
- उम्मीदवारों का चयन प्रक्रिया लिखित परीक्षा तथा दस्तावेज सत्यापन के आधार पर रखा गया है |
WB NHM CHO Bharti 2025 Application Fees –
- जनरल उम्मीदवारों के लिए आवेदन शुल्क ₹100 रखा गया है तथा रिजर्व कैटेगरी के लिए आवेदन शुल्क ₹50 रखा गया है आवेदन शुल्क का भुगतान ऑनलाइन माध्यम से किया जाएगा | WB NHM CHO Recruitment 2025
WB NHM CHO Recruitment Eligibilities 2025 –
| Stream | Eligibilities |
| B.Sc Nursing (BPCCHN) | Passed Integrated BPCCHN Course or later from a WBNC-recognized institute. WBNC registration. |
| GNM / B.Sc Nursing (Pre-2021) | Passed GNM/ B.Sc Nursing before 2021 from a WBNC-recognized institute. WBNC registration. |
| BAMS | Passed BAMS from a recognized university. Must have registration with Paschim Banga Ayurved Parishad. |
| Common for All | Proficiency in Bengali/ local language & dialect. |

How To Apply WB NHM CHO Recruitment 2025 –
- सबसे पहले आप सभी आवेदन करने के लिए आधिकारिक वेबसाइट https://wbhealth.gov.in/ पर जाएं |
- आधिकारिक वेबसाइट पर जाने के बाद न्यू रजिस्ट्रेशन करने का लिंक मिलेगा ,जिस पर आप सभी को क्लिक कर लेना होगा |
- क्लिक करने के बाद आप सभी के सामने एक नया पेज ओपन होकर आएगा ,जिसमें मांगी गई आवश्यक जानकारी को आप सभी स्टेप बाय स्टेप दर्ज करेंगे | WB NHM CHO Recruitment 2025
- अब आप सभी को रजिस्ट्रेशन नंबर प्राप्त हो जाएगा रजिस्ट्रेशन नंबर तथा पासवर्ड की मदद से लॉगिन कर लेना होगा |
- अब आप सभी उम्मीदवार पूछी गई जानकारी को स्टेप बाय स्टेप दर्ज करें तथा अपने फोटो एवं सिग्नेचर तथा आदि आवश्यक दस्तावेजों को अच्छे से अपलोड कर अपने आवेदन शुल्क का भुगतान करें | WB NHM CHO Recruitment 2025
- आवेदन पत्र पूरा हो जाने पर किए गए आवेदन पत्र का प्रिंटआउट निकाल कर अपने भविष्य के लिए सुरक्षित रख लें |
Important Link –
| Registration | Click Here |
| Notification Soon | Click Here |
| Official Website | Click Here |
| Home Page | Click Here |
| WhatsApp Group Join | Click Here |
| Teligram Join Link | Click Here |
WB NHM CHO Recruitment 2025
पश्चिम बंगाल जिला स्वास्थ्य एवं परिवार कल्याण समिति ने NHM के अंतर्गत सामुदायिक स्वास्थ्य अधिकारी CHO के 3165 पदों पर नई भर्ती का नया नोटिफिकेशन अपडेट किया है |